Bihar Board Class 2 2019 MATHEMATICS-121-327-F Question Bank Previous Year Question Papers

Board: Bihar Board
Content Type: Previous Year Question Papers
Paper Type: Question Bank
Class: Class 2
Subject: MATHEMATICS-121-327-F
Year: 2019

Question Paper Pages

Bihar Board Class 2 2019 MATHEMATICS-121-327-F Question Bank - Page 1
Bihar Board Class 2 2019 MATHEMATICS-121-327-F Question Bank - Page 2
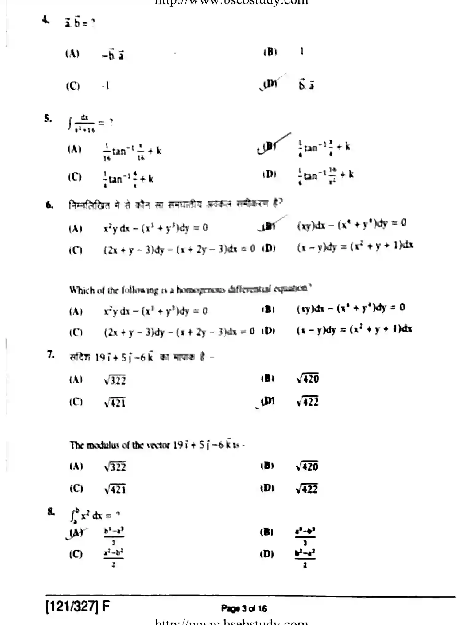
Bihar Board Class 2 2019 MATHEMATICS-121-327-F Question Bank - Page 3
Bihar Board Class 2 2019 MATHEMATICS-121-327-F Question Bank - Page 4
Bihar Board Class 2 2019 MATHEMATICS-121-327-F Question Bank - Page 5
Bihar Board Class 2 2019 MATHEMATICS-121-327-F Question Bank - Page 6
Bihar Board Class 2 2019 MATHEMATICS-121-327-F Question Bank - Page 7
Bihar Board Class 2 2019 MATHEMATICS-121-327-F Question Bank - Page 8
Bihar Board Class 2 2019 MATHEMATICS-121-327-F Question Bank - Page 9
Bihar Board Class 2 2019 MATHEMATICS-121-327-F Question Bank - Page 10
Bihar Board Class 2 2019 MATHEMATICS-121-327-F Question Bank - Page 11
Bihar Board Class 2 2019 MATHEMATICS-121-327-F Question Bank - Page 12
Bihar Board Class 2 2019 MATHEMATICS-121-327-F Question Bank - Page 13
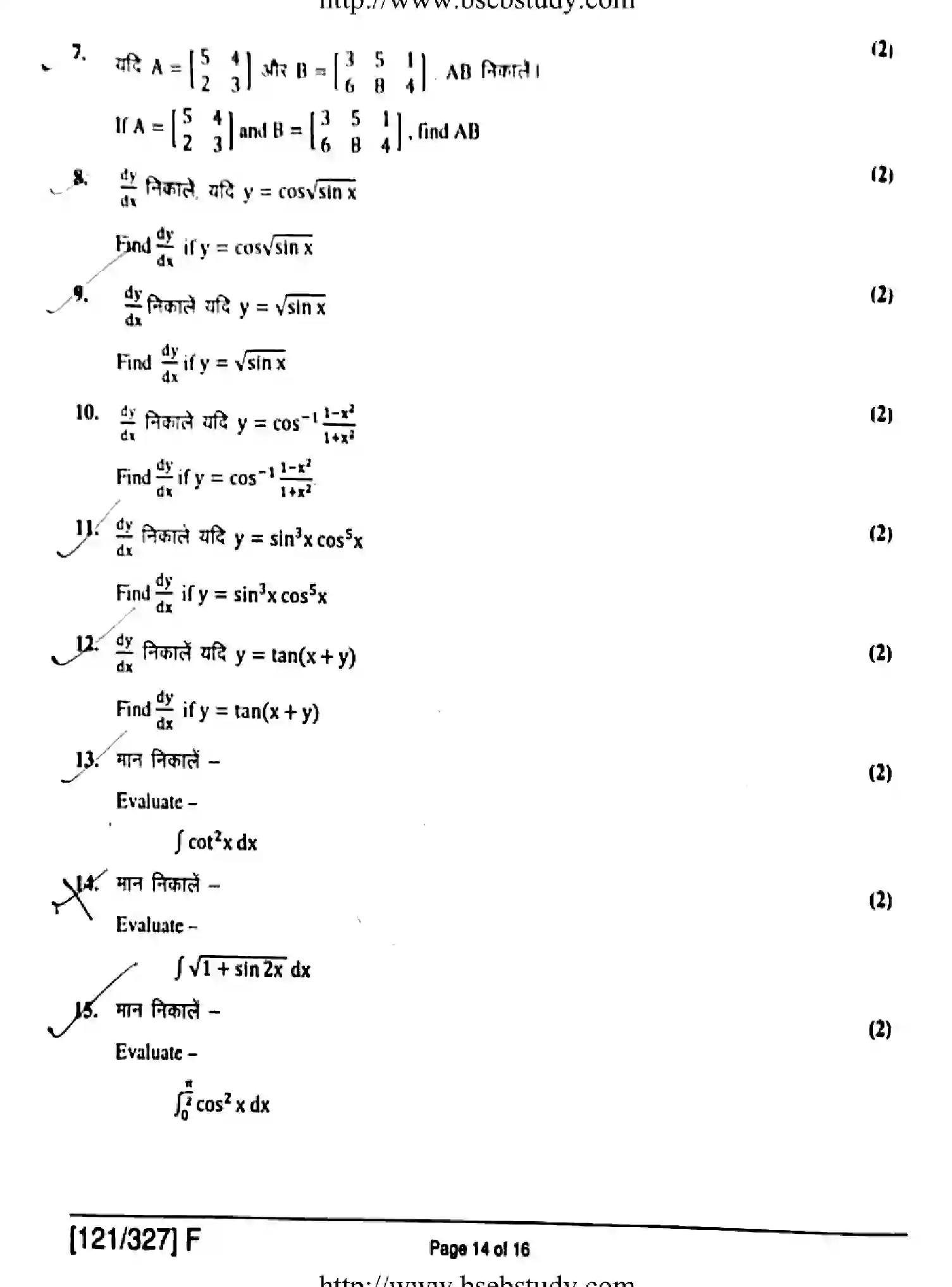
Bihar Board Class 2 2019 MATHEMATICS-121-327-F Question Bank - Page 14
Bihar Board Class 2 2019 MATHEMATICS-121-327-F Question Bank - Page 15
Bihar Board Class 2 2019 MATHEMATICS-121-327-F Question Bank - Page 16